藏书网
文化人纪妪的文章
硬笔行书怎样排列好看? 大小大交替排列,笔画多的大写,笔画少的小一些,但是呢,要
2025-12-18 11:00
每日练字已经坚持两年之多 认真写好每一笔 看一书法博主说,笔法是练字的重中之重
2025-12-16 10:01
练硬笔两年多 有坚持有热爱 为什么用钢笔写? 行为钢笔水便宜
2025-12-15 11:00
每日抄写练字两年多 五分坚持,八分热爱 有说,文化低是学不了书法的 妪说,对
2025-12-14 21:00
知道吗? 一位博主说:书法这个东西,分为好看和耐看,好看就是搭眼一瞧,很好看,但
2025-12-13 17:59
每日抄写练字两年多 两份坚持,八分热爱 都说,爱写字笔书法的人,一定是爱生活人
2025-12-12 10:59
每日抄写练字两年多 两份坚持,十分热爱 有留言说:我绝不相信这是老太太写的。
2025-12-11 09:59
抄写练字两年多, 一份坚持,两份热爱 路过老师请指导帮助。
2025-12-10 09:59
每日抄写练字两年多 两份坚持,半份热爱 书法博主说千万别繁简字混用。 妪练字
2025-12-09 09:59
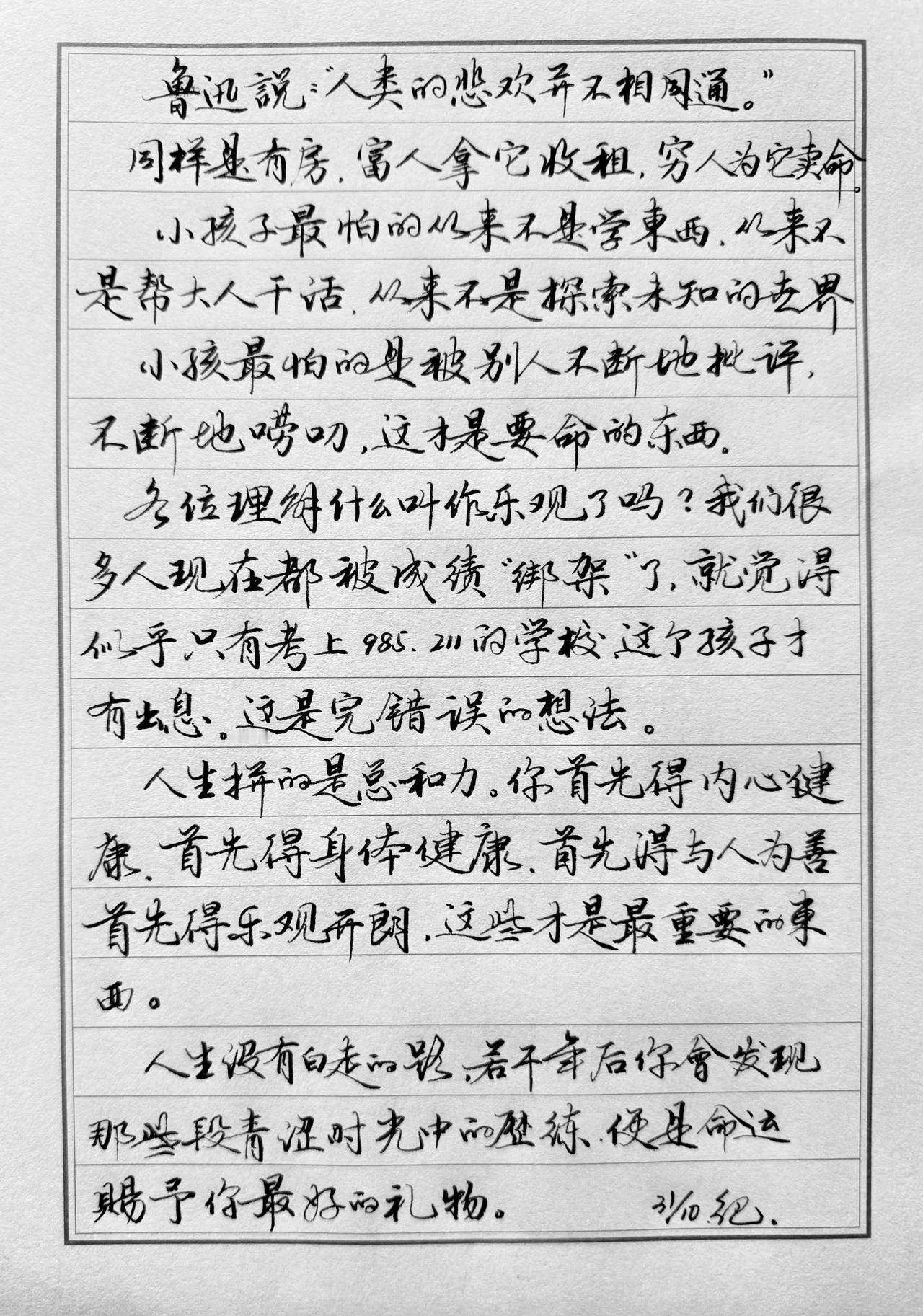
每日抄写练字两年多 一份坚持,一份热爱 抄写一篇值得家长反思的文章,建议收藏
2025-12-08 09:59
每天抄写练字两年多了,风雨不误[笑] 其实刮风下雨会影响心情的。 得到一个信息
2025-12-07 13:00
每天抄写练字两年多了,风雨不误[笑] 有留言说:你用其他笔写写看。 还留个坏笑
2025-12-07 11:59
每天坚持抄写练字两年多,风雨不误。 妪写的不是书法,千万别放大看,尤其浮鹅勾,
2025-12-06 08:58
每天坚持抄写练字两年多✌️ 楷书和行书到底哪个容易? 一位书法老师说:楷书容易
2025-12-05 09:58
一起练字吧练字
2025-12-04 10:59
为什么能坚持两年多抄写练字? 坚持练,坚持晒? 我坚持了两年多了,和我一起练字的
2025-12-04 11:00
为什么起初一起抄写练字的都退出了? 为什么妪还在抄还在练? 因为妪还是喜欢,年轻
2025-12-03 09:58
我是一个抄写练字两年零三个多月的老太太。 虽不临帖,但抄写过程中也会认真学习一些
2025-12-02 09:58
根据留言来看,认可庞中华老师的人不少,都知道因为他的号召,数亿中国人拿起笔来学写
2025-12-01 09:57
有留言说,全球只有一位硬笔书法家那就是黄若舟先生。 这位书法家我第一次听说,赶紧
2025-11-30 09:42
第一页
下一页
文化人纪妪
感谢大家的关注
热门分类
推荐
热榜
军事
NBA
体育
社会
明星八卦
娱乐
财经
科技
汽车
历史
国际
游戏
动漫
公益
搞笑
商业
互联网
数码
国际足球
房产
家居
时尚
科学探索
职场
育儿
股票
教育
影视
情感
热点
中国军情
武器
中国南海
中国足球
亚洲杯
科比
综合体育
CBA
投资
大咖秀
外汇
创业
风口
SUV
豪车
概念车
优惠
新能源
美国
欧洲
朝日韩
俄罗斯
孕期
街拍
婚姻
正能量