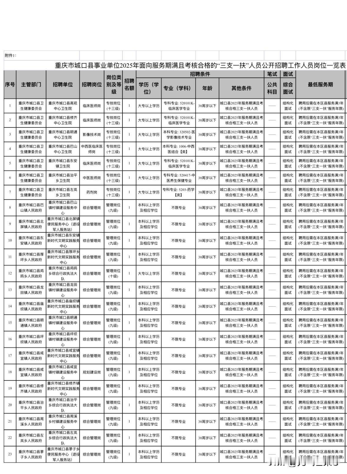
重庆城口县事业单位迎来2025年“三支一扶”专项招聘! 为进一步优化人才结构,助力城口发展,城口县将于2025年10月16日开启招聘窗口,面向服务期满且考核合格的“三支一扶”人员公开招聘23名工作人员。报名时间有限,仅开放上午三个小时,请大家务必提前准备。面试将在10月19日进行,有志从事事业单位工作的人员千万别错过这次机会。快来加入,成为推动城口建设的一员
重庆被外界高估了吗?
【11评论】【6点赞】
重庆城口县事业单位迎来2025年“三支一扶”专项招聘! 为进一步优化人才结构,助力城口发展,城口县将于2025年10月16日开启招聘窗口,面向服务期满且考核合格的“三支一扶”人员公开招聘23名工作人员。报名时间有限,仅开放上午三个小时,请大家务必提前准备。面试将在10月19日进行,有志从事事业单位工作的人员千万别错过这次机会。快来加入,成为推动城口建设的一员
猜你喜欢
【11评论】【6点赞】
【3评论】【1点赞】
【5评论】【5点赞】
【188评论】【122点赞】
作者最新文章
热门分类
社会TOP
社会最新文章