藏书网
陆咩咩啊的文章
五下语文第19课《牧场之国》课堂笔记及习题
教育
2025-12-24 00:11
五下语文第六单元习作《神奇的探险之旅》
教育
2025-12-29 00:27
五下语文第六单元习作《神奇的探险之旅》笔记
教育
2025-12-28 00:07
五下语文第17课《跳水》课堂笔记及课后习题
教育
2025-12-24 00:05
五下语文第16课《田忌赛马》课堂笔记及习题
教育
2025-09-24 23:14
五下语文第五单元交流平台及习作例文笔记
教育
2025-12-29 00:21
五下语文第14课《刷子李》课堂笔记及课后习题
教育
2025-09-26 01:04
五下语文第13课《人物描写一组》课堂笔记
教育
2025-09-25 14:14
五下语文第四单元习作《他_____了》课堂笔记
教育
2025-12-26 00:07
五下语文第12课《清贫》课堂笔记及课后习题
教育
2025-12-27 00:11
五下语文园地二课堂笔记及课后练习题
教育
2025-12-26 00:14
五下语文第8课《红楼春趣》课堂笔记及习题
教育
2025-12-23 04:57
五下语文第6课《景阳冈》课堂笔记及课后习题
2025-12-23 04:57
五下语文语文园地一课堂笔记及课后习题
教育
2025-12-26 00:07
五下语文第4课《梅花魂》课堂笔记及课后习题
教育
2025-12-27 00:33
五下语文第3课《月是故乡明》课堂笔记及习题
教育
2025-10-02 09:09
五下语文预习|寒假必背古诗词及重点知识
2025-12-25 00:10
五上语文第七单元习作范文《____即景》
教育
2025-12-25 00:22
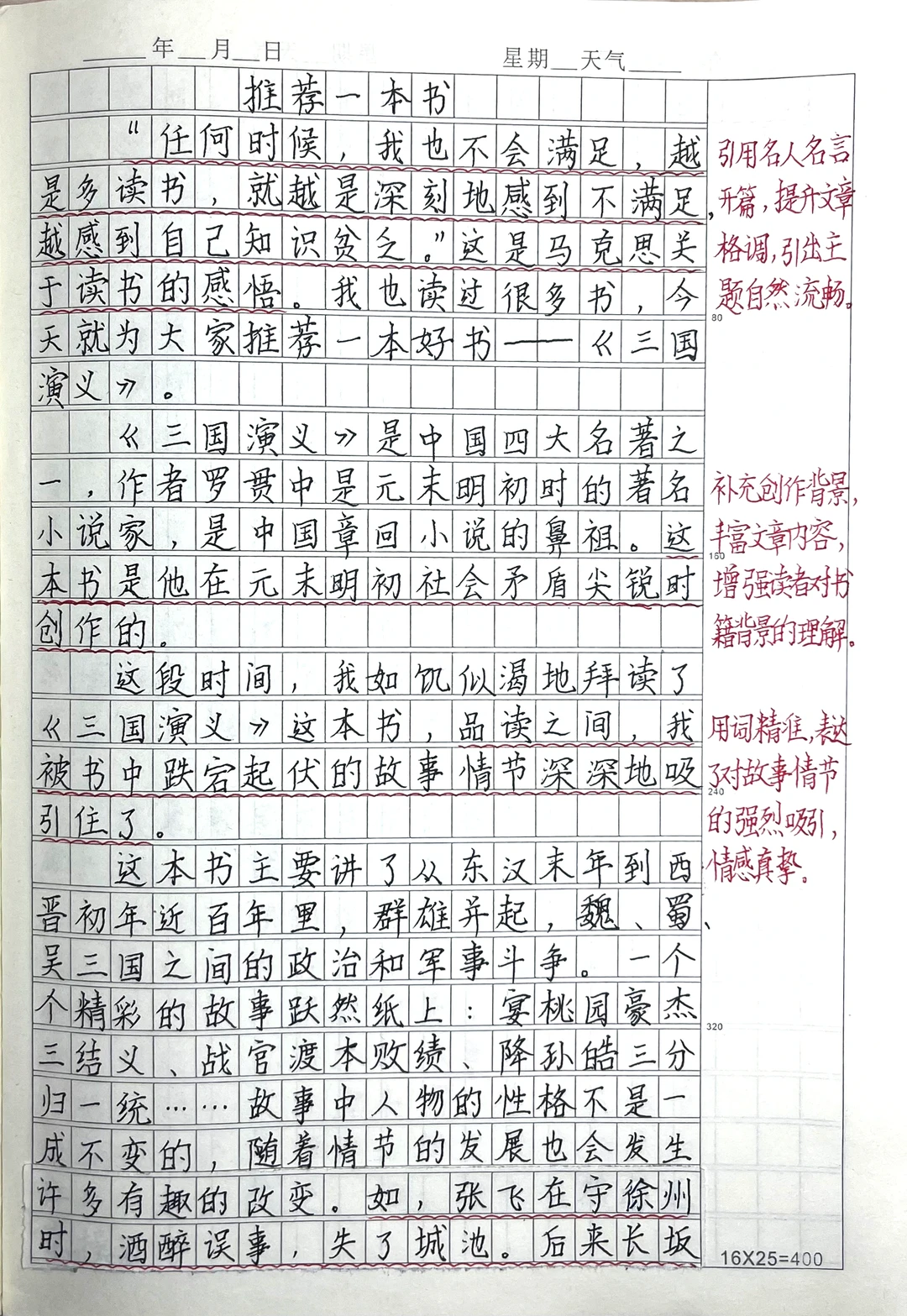
五上语文第八单元习作《推荐一本书》
教育
2025-12-29 00:04
五上语文第八单元语文园地课堂笔记➕练习题
教育
2025-12-25 00:15
第一页
下一页
陆咩咩啊
感谢大家的关注
热门分类
推荐
热榜
军事
NBA
体育
社会
明星八卦
娱乐
财经
科技
汽车
历史
国际
游戏
动漫
公益
搞笑
商业
互联网
数码
国际足球
房产
家居
时尚
科学探索
职场
育儿
股票
教育
影视
情感
热点
中国军情
武器
中国南海
中国足球
亚洲杯
科比
综合体育
CBA
投资
大咖秀
外汇
创业
风口
SUV
豪车
概念车
优惠
新能源
美国
欧洲
朝日韩
俄罗斯
孕期
街拍
婚姻
正能量