藏书网
高三一轮复习6.3等比数列
弄了与数学
2025-12-12 00:02:17
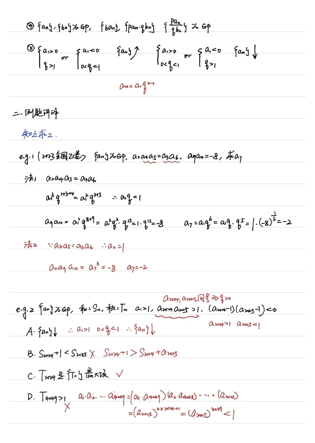
和等差数列复习的结构和框架一样,复习等比数列。
0
阅读:0
弄了与数学
感谢大家的关注
作者最新文章
1
分享一下期中考试试卷
2
高三一轮复习 专题——极值点偏移 力争讲透!
3
高三一轮复习 9.1-9.3 统计
4
高三一轮复习 6.3 等比数列
5
好分贝润喉喷雾|老师的“救嗓”神器,亲测好用
6
高三一轮复习 5.1平面向量的概念及线性运算
7
高三一轮复习 专题 正、余弦定理的应用
8
高三一轮复习 4.8 正、余弦定理
9
高三一轮复习 4.3-4.4 三角恒等变换
10
高三一轮复习教案 专题 常见函数图象
热门分类
推荐
热榜
军事
NBA
体育
社会
明星八卦
娱乐
财经
科技
汽车
历史
国际
游戏
动漫
公益
搞笑
商业
互联网
数码
国际足球
房产
家居
时尚
科学探索
职场
育儿
股票
教育
影视
情感
热点
中国军情
武器
中国南海
中国足球
亚洲杯
科比
综合体育
CBA
投资
大咖秀
外汇
创业
风口
SUV
豪车
概念车
优惠
新能源
美国
欧洲
朝日韩
俄罗斯
孕期
街拍
婚姻
正能量
教育
TOP
1
这样演高中生是不是有点过分了
2
在读硕士的杨春燕,在教室上课时被警方带走。老师一脸惊讶地说:“是不是抓错人了?”
3
到了高中你会发现:很多人一到高中,就把目标定为211、985,但到了高二,发
4
陪读,同儿子一起从头学…
5
到了高中,你会发现:1、中考考上普通高中,从高一一入学就开始努力,上课认真
6
全国高校地位金字塔,你在那一层级?中国大陆地区共有3072所高等院校,被分为12
7
浙大26岁博导闵超冲上热搜,网友挖出了另一个事情,那就是在今年8月,浙江大学
8
这是什么高中,前500名还能冲击985?这样的高中一个省可能也只有一两所,还必
9
亲哥被人害了,她一个双一流大学的研究生,扭头就去学了自己当年最不想碰的——法律。
10
民办大学的排名,原来是这样的。湖北有三所民办高校上榜,全部来自武汉。武昌首义
教育
最新文章
1
上海市教育委员会2025年12月10日刚刚发布:复旦大学,复旦大学,上海医学院,
2
31岁留学女博士王哲,与26岁美国男伴发生关系后,发现男伴皮肤有严重问题。让男伴
3
厦大“精日女”田佳良的堕落之路:从学霸到全民唾弃真没想到啊,表面看着那么
4
浙江省教育厅今天刚刚发布:浙江工业大学,浙江师范大学,浙江理工大学,浙江工商大学
5
浙大马院:出了个26岁的博导!是的,没有看错!中国顶尖985浙江大学出了一个奇
6
亲哥被人害了,她一个双一流大学的研究生,扭头就去学了自己当年最不想碰的——法律。
7
太震惊了!在人称“三包校长”的抽屉里,竟然不是放着教材等与教育有关的东西。而
8
浙大26岁博导闵超冲上热搜,网友挖出了另一个事情,那就是在今年8月,浙江大学
9
“真想不通问题出在哪!”一位妈妈发文:女儿小学每科稳定在96分以上,偶尔还拿满分
10
一觉醒来,教育局又出新规了,好多家长估计睡不着了!多地开始实施了!雪假