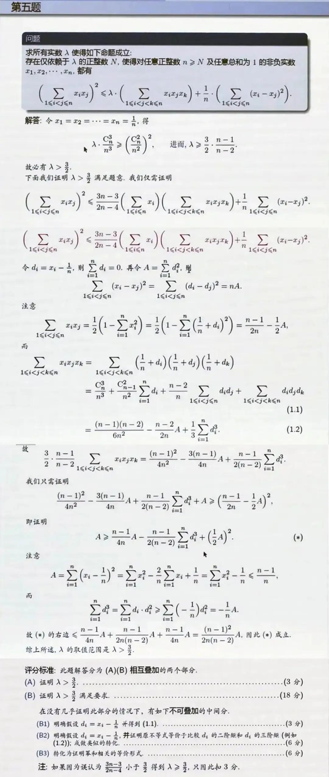
少年强则国强。 CMO就是发现数学天才的竞赛,大名鼎鼎的韦神韦东奕,就是成名于CMO。尽管今年的CMO试题比去年难,仍然是高分有很多: 邓乐言言哥再次满分,13岁天才少年刘喆顺利进国集! 看看试题及答案,为这些少年点赞👍🏻韦东奕定律








少年强则国强。 CMO就是发现数学天才的竞赛,大名鼎鼎的韦神韦东奕,就是成名于CMO。尽管今年的CMO试题比去年难,仍然是高分有很多: 邓乐言言哥再次满分,13岁天才少年刘喆顺利进国集! 看看试题及答案,为这些少年点赞👍🏻韦东奕定律








作者最新文章
热门分类
社会TOP
社会最新文章